Датские исследователи обнаружили способ предсказать развитие деменции или старческого слабоумия за 10 лет до появления болезни. Метод основан на анализе пола, возраста, а также различия в определенных генах. О выводах исследования сообщается в журнале Canadian Medical Association Journal.
В статье указывается, что деменция является одной из основных причин потери трудоспособности у людей старшего возраста. Вылечить это заболевание пока не представляется возможным, однако имеется возможность снизить риск его развития с помощью профилактики. Ученые отмечают, что одним из самых наиболее эффективных способов профилактики деменции является постоянное обучение. Подпитка нашего мозга новыми знаниями вызывает формирование новых нейронных связей. Очень полезно читать книги и даже разгадывать кроссворды и другие головоломки. Согласно выводам более ранних исследований, задачи, развивающие внимание, способны на 29 процентов снизить вероятность развития деменции через 10 лет.
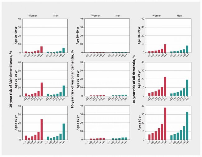
В исследовании датских ученых говорится о том, что основными факторами, влияющими на тот или иной уровень риска развитии деменции, являются возраст, пол, а также различия в генах, кодирующих белок аполипопротеин E.

Вероятность развития болезни Альцгеймера, сосудистой деменции и прочих видов деменции в зависимости от генотипов APOE, с учетом пола и возраста
Ученые отмечают, что чаще всего причиной развития деменции (в 70 процентах случаев) является развитие болезни Альцгеймера, которая примерно в 70% случаев является причиной деменции. При этом старческим слабоумием чаще всего страдают женщины. Что касается аполипопротеина E, то одна из его разновидностей (APOE4) напрямую влияет на развитие болезни Альцгеймера.
Проанализировав данные 104 537 людей с деменцией из Копенгагена, медики обнаружили, что комбинация возраста, пола и вариации в гене APOE позволяют определить группы с наиболее высоким риском развития старческого слабоумия. В выводах исследователей отмечается, что для женщин и мужчин в возрасте 60 лет риск развития деменции составляет 7% и 6% соответственно, для 70-летних вероятность составляет 16% и 12%, а для 80-летних и старше — 24% и 19%.
Датчане уверены, что новый метод анализа позволит предсказывать появление деменции за 10 лет до начала ее развития.